第1部:角運動量の合成とスピン−軌道相互作用
水素様原子の価電子の軌道角運動量演算子を
、
スピン角運動量演算子を
とする。
と
は、
それぞれ角運動量の基本的交換関係

を満たし、
と
は互いに交換する。
【1】 全角運動量演算子を
で定義すると、
も交換関係

を満たすことを示せ。
【2】 四つの演算子
が
互いに可換で、同時観測量になっていることを示せ。
【3】 全角運動量の自乗が

とかけることを示せ。
【4】 四つの演算子
が
互いに可換で、同時観測量になっていることを示せ。必要ならば前問の結果を
用いよ。
【5】 次の文中の空欄を埋めよ。
以上のことから、角運動量の基底ケットの選び方には、
選択A:

と
選択B:

の二つの選び方がある。
【6】 与えられたl,sに対して、この二組の基底を結び付ける ユニタリー変換が存在し

と書けることを示せ。この変換係数
を
クレプシュ・ゴルダン係数と呼ぶ。
【7】 クレプシュ・ゴルダン係数は、次の条件を満たさないとゼロになる。

まず、演算子の恒等式

を
と
で挟んで条件(1)を証明せよ。
つぎに、条件(2)を角運動量合成のベクトルモデルの観点から説明せよ。 (厳密な証明は、JJ上巻付録Bをみよ)
【8】 水素様原子の価電子を考える場合、電子のスピンは
だから、
である。このとき、【7】の条件は

となる。
このとき、クレプシュ・ゴルダン係数は

となる。空欄に正の実数を入れよ。(ヒント:変換行列のユニタリー性を使え。) 厳密な導出は、JJ3章7節をみよ。
【9】 演算子
が

と書けることを示せ。
【10】 演算子
の固有ケットが
であり、
固有値が

となることを示せ。
【11】 水素様原子の価電子のハミルトニアン

について、
を摂動として扱うことに依って、微細構造に
関するランデの
間隔則JJ(5.3.9)式を求めよ。
第2部:ゼーマン効果
一様な磁場
中の水素様原子のエネルギー状態を考える。
【1】 ベクトルポテンシャル
は、

と表せることを示せ。
【2】 水素様原子のハミルトニアン
に対して、

の置き換えをすると、磁場中でのハミルトニアン

が得られることを示せ。ただし、
となるクーロン・ゲージを用いれば、
を
で置き換えられる。
【3】 前問のハミルトニアン中のベクトルポテンシャル
を
【1】の磁場
で表せば、

となることを示せ。
【4】 前問のハミルトニアンのうち、重要でない
の
項を省略し、スピン磁気モーメント相互作用

および、
相互作用を考慮すると、全ハミルトニアンは

となることを示せ。
【5】 磁場
が弱いとき
、
を非摂動ハミルトニアン、
を摂動項として扱える。非摂動状態
のlに関する縮退は解けているので、mに関しての2j+1重の縮退のみが
存在する。縮退している空間内での摂動
の行列要素が対角化さ
れている
ことを示せ。必要ならば、第1部【8】のクレプシュ・ゴルダン係数、m選択則
を用いよ。
【6】 前問の結果より、縮退している部分空間内で
は
対角化されているので、
1次のエネルギーのずれを求めるのに、単に非摂動状態で期待値をとればよい。
ランデの公式

を求めよ。下線部は、ランデのg因子と呼ばれる。
【7】 磁場
が強いとき(パッシェン・バックの極限)
、
を非摂動ハミルトニアン、
を摂動項として扱える。非摂動状態
を用いて、磁場によるエネルギーのずれ

を導け。
【8】 前問の結果より、
の下で持っていた
と
に関する
重の縮退は、
磁場が強いときには
によって解け、残った縮退は
が同じ値をとるときの
2重の縮退(
と
)
のみである。縮退している部分空間内で摂動
が対角化されてい
ることを
示せ。必要ならば、

を用いよ。
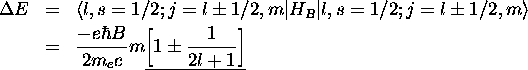
【9】 摂動項
により、2重の縮退も解ける。
による1次のエネルギーのずれが

となることを示せ。